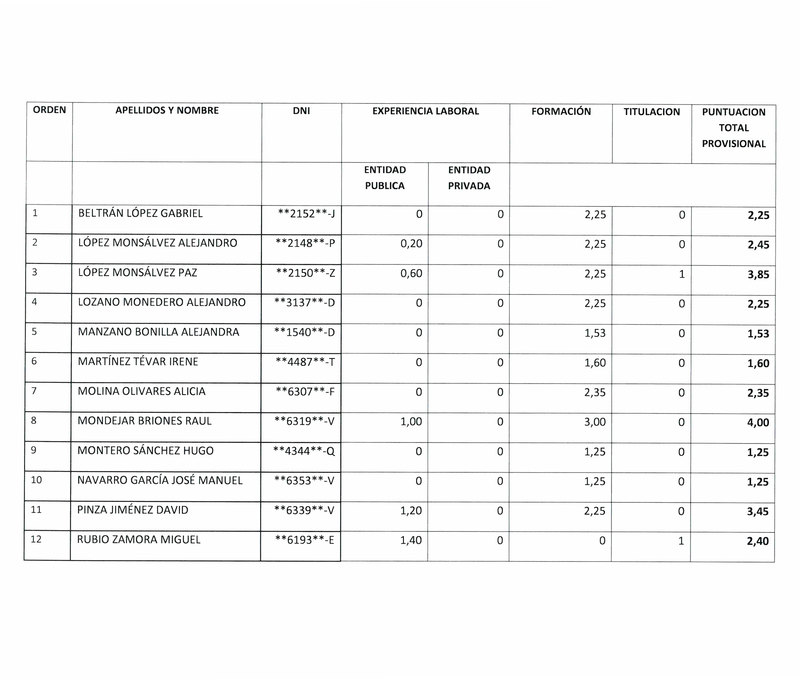
BANDO | Calificaciones provisionales bolsa socorrista
El Ayuntamiento de Motilla del Palancar ha publicado las calificaciones provisionales bolsa socorrista para la Piscina Municipal durante este verano del año 2021. Consulta todas las calificaciones en el siguiente bando.



