Calificaciones provisionales de la bolsa de trabajo
Ya han sido publicadas las calificaciones provisionales de las siguientes convocatorias a la bolsa de trabajo de Motilla del Palancar:
- Calificaciones Bolsa de Trabajo de Auxiliar del Servicio de Ayuda a Domicilio.

- Calificaciones Bolsa de Trabajo de Monitor de Ocio y Tiempo Libre.

- Calificaciones Bolsa de Trabajo de Auxiliares Administrativos.

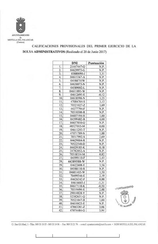
- Calificaciones Bolsa de Trabajo de Adminitrativos.

